Web Reference: O CEP da Rua dos Guaranis é 30120-040. Este código postal identifica o endereço no bairro Centro, em Belo Horizonte/MG, e está ativo na base oficial dos Correios. Find local businesses, view maps and get driving directions in Google Maps. O CEP 30120-040 é na Rua dos Guaranis, bairro Centro — Belo Horizonte/MG. Código IBGE: 3106200. Consulte mapa e endereço completo gratuitamente.
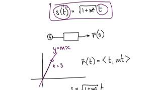
YouTube Excerpt: WELCOME TO THE START OF VECTOR CALCULUS. Full playlist here: ▻VECTOR CALCULUS (Calc IV) ...
Net Worth Profile Overview
Arclength Parameterizations Net Worth 2026: Salary, Income & Wealth Net Worth & Biography

Estimated Worth: $37M - $58M
Salary & Income Sources

Career Highlights & Achievements

Assets, Properties & Investments
This section covers known assets, real estate holdings, luxury vehicles, and investment portfolios. Data is compiled from public records, financial disclosures, and verified media reports.
Last Updated: April 13, 2026
Net Worth Outlook & Future Earnings

Disclaimer: Disclaimer: Net Worth estimates are based on publicly available data, media reports, and financial analysis. Actual numbers may vary.








