YouTube Excerpt: MCR3U

Net Worth Profile Overview

  1. Mcr3u Function Notation Overview Net Worth 2026: Salary, Income & Wealth Net Worth & Biography
  2. Salary & Income Sources
  3. Career Highlights & Achievements
  4. Assets, Properties & Investments
  5. Net Worth Outlook & Future Earnings

Mcr3u Function Notation Overview Net Worth 2026: Salary, Income & Wealth Net Worth & Biography

Celebrity MCR3U - function notation overview Net Worth
How much is Mcr3u Function Notation Overview Net Worth 2026: Salary, Income & Wealth worth? We've gathered comprehensive wealth data, income records, and financial insights for Mcr3u Function Notation Overview Net Worth 2026: Salary, Income & Wealth. Explore the complete Net Worth breakdown, salary history, and asset portfolio.

Estimated Worth: $88M - $100M

Salary & Income Sources

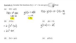
MCR3U (1.2) - Function Notation Overview - Grade 11 Functions Wealth
Explore the main sources for Mcr3u Function Notation Overview Net Worth 2026: Salary, Income & Wealth. From highlights to returns, find out how they accumulated their status over the years.

Career Highlights & Achievements

Celebrity MCR3U - Function Notation and Mapping Net Worth
Stay updated on Mcr3u Function Notation Overview Net Worth 2026: Salary, Income & Wealth's newest achievements. Whether it's award-winning performances or contributions, we track the highlights that shaped their success.

MCR3U HW 1.2 Functions and Function Notation Wealth
MCR3U HW 1.2 Functions and Function Notation
MCR3U Function Notation   Edited Net Worth
MCR3U Function Notation Edited
MCR3U 1.2 Functions and Function Notation Wealth
MCR3U 1.2 Functions and Function Notation
Famous Function Notation (MCR3U) Profile
Function Notation (MCR3U)
Evaluating Functions (Intro to Function Notation) Net Worth
Evaluating Functions (Intro to Function Notation)
Famous MCR3U - Function Notation - Part 1 of 3 Wealth
MCR3U - Function Notation - Part 1 of 3
Famous MCR3U - Unit 1, Lesson 2 - Function Notation Wealth
MCR3U - Unit 1, Lesson 2 - Function Notation
Celebrity Function Notation (MCR3U - 11 Functions) Profile
Function Notation (MCR3U - 11 Functions)
Celebrity MCR3U (Grade 11 Functions) - Function Notation Practice Net Worth
MCR3U (Grade 11 Functions) - Function Notation Practice

Assets, Properties & Investments

This section covers known assets, real estate holdings, luxury vehicles, and investment portfolios. Data is compiled from public records, financial disclosures, and verified media reports.

Last Updated: April 8, 2026

Net Worth Outlook & Future Earnings

Celebrity MCR3U 1-2 Function Notation Net Worth
For 2026, Mcr3u Function Notation Overview Net Worth 2026: Salary, Income & Wealth remains one of the most talked-about celebrity profiles. Check back for the latest updates.

Disclaimer: Disclaimer: Net Worth estimates are based on publicly available data, media reports, and financial analysis. Actual numbers may vary.