YouTube Excerpt: Get instant access to Project files ...

Net Worth Profile Overview

  1. Double Spring Simulation Net Worth 2026: Salary, Income & Wealth Net Worth & Biography
  2. Salary & Income Sources
  3. Career Highlights & Achievements
  4. Assets, Properties & Investments
  5. Net Worth Outlook & Future Earnings

Double Spring Simulation Net Worth 2026: Salary, Income & Wealth Net Worth & Biography

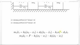
Modeling and Simulation of Mass Spring Damper and Mass Spring System in MATLAB #matlab  #modelling Wealth
How much is Double Spring Simulation Net Worth 2026: Salary, Income & Wealth worth? We've compiled comprehensive wealth data, income records, and financial insights for Double Spring Simulation Net Worth 2026: Salary, Income & Wealth. Discover the complete Net Worth breakdown, salary history, and asset portfolio.

Estimated Worth: $35M - $54M

Salary & Income Sources

Celebrity Double Spring Simulation Profile
Explore the primary sources for Double Spring Simulation Net Worth 2026: Salary, Income & Wealth. From partnerships to returns, find out how they accumulated their status over the years.

Career Highlights & Achievements

How to design two Mass Damper Spring System in Simulink? Profile
Stay updated on Double Spring Simulation Net Worth 2026: Salary, Income & Wealth's newest achievements. Whether it's record-breaking facts or contributions, we track the accomplishments that shaped their success.

PHYSICS PROGRAMMERS: Spring pendulum simulation Profile
PHYSICS PROGRAMMERS: Spring pendulum simulation
Double Spring-Pendulum | Classical Mechanics | Physics Simulations Profile
Double Spring-Pendulum | Classical Mechanics | Physics Simulations
Famous Simscape Multibody Spring-Mass System | MATLAB Tutorial Net Worth
Simscape Multibody Spring-Mass System | MATLAB Tutorial
Celebrity Mechanical Vibrations 8 - Newton 2 - Double Mass-spring-damper system Net Worth
Mechanical Vibrations 8 - Newton 2 - Double Mass-spring-damper system
Famous Detailed State-Space Model Derivation of Double Mass-Spring-Damper System with Python Simulations Net Worth
Detailed State-Space Model Derivation of Double Mass-Spring-Damper System with Python Simulations
Famous a double horizontal spring simulation Wealth
a double horizontal spring simulation
Celebrity Phet Simulation Spring Constant Lab Masses and Springs Net Worth
Phet Simulation Spring Constant Lab Masses and Springs
Celebrity Dynamics of a Double Spring Mass Wealth
Dynamics of a Double Spring Mass
Famous Butterfly-effect simulation using 500 double pendulums Profile
Butterfly-effect simulation using 500 double pendulums

Assets, Properties & Investments

This section covers known assets, real estate holdings, luxury vehicles, and investment portfolios. Data is compiled from public records, financial disclosures, and verified media reports.

Last Updated: April 7, 2026

Net Worth Outlook & Future Earnings

Celebrity Dynamics of a Double Spring Mass Net Worth
For 2026, Double Spring Simulation Net Worth 2026: Salary, Income & Wealth remains one of the most searched-for celebrity profiles. Check back for the latest updates.

Disclaimer: Disclaimer: Net Worth estimates are based on publicly available data, media reports, and financial analysis. Actual numbers may vary.